一、先进推进技术:
(1)泵喷/喷泵加气增推技术:


图1 泵喷加气增推前后流场和推力系数变化
(2)柔性膜推进技术:
二、流动控制研究
(1)边界层吹吸减阻:开发了吹吸扰动扰动对湍流边界层阻力特性影响的直接数值模拟算法(DNS)

图2 槽道湍流中,带有局部吹吸扰动调控的湍流涡结构,其中(a)无扰动、(b)减阻扰动和(c)增阻扰动。
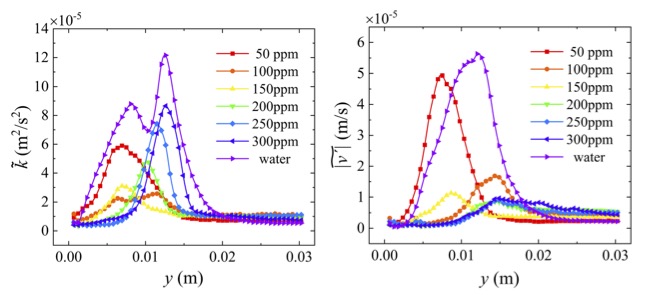
(2)粘弹性减阻剂注入边界层湍流减阻:建立了粘弹性减阻剂注入的边界层湍流减阻数值方法(DNS、商业软件)和试验技术(PIV、Micro-PIV)


图3 粘弹性溶液注入边界层内湍流特性试验,聚合物注入有效抑制法向脉动


图4 粘弹性溶液调控边界层前(左)与后(右)表面涡结构对比
(3)基于机器学习的流动主动控制:建立了基于PPO算法的绕流场尾流抑制方法(AI+CFD)

图5 有无流动主动控制的圆柱绕流尾流场对比
三、海冰相变研究
(1)基于LBM的海冰相变模拟(LBM)与实验




图6 海冰相变物理模型及不同时刻固-液相分布



